# 树结构

# 树结构的特点
树通常有一个根,连接着根的是树干
树干到上面之后会进行分叉成树枝,在树枝的最后是叶子
树结构的抽象:

# 树的优点
树结构和数组、链表、哈希表对比有什么优点呢?
数组:
优点:
- 根据下标值访问效率高
- 如果希望根据元素来查找对应位置,比较好的方法是先对数组进行排序,在进行二分查找
缺点:
- 需要先对数组进行排序,生成有序数组,才能提高查找效率
- 数组在插入和删除数据时,需要有大量的位移操作(插入到首位或者中间位置)效率很低
链表:
优点:
- 链表的插入和删除操作效率很高
缺点:
- 查找效率很低,需要从头开始依次访问链表中的每一个数据项,直到找到为止
- 即使插入和删除操作效率很高,但是如果要插入和删除中间位置的数据的时候,还需要重头先找到对应的数据
哈希表:
优点:
- 插入、查询、删除效率都非常高
缺点:
- 空间利用率不高,底层使用的是数组,并且某些单元是没有被利用的
- 哈希表中的元素是无序的,不能按照固定的顺序来遍历哈希表中的元素
- 不能快速找出哈希表中的最大值和最小值
数结构:
不能说树结构比其他结构都要好,因为每种数据结构都有自己的特定的应用场景
数结构综合了上面的数据结构的优点(但是优点不足以盖过其他数据结构,比如效率一般情况下没有哈希表高),也弥补了上面数据结构的缺点。
数结构是非线性的,可以表示一对多的关系,比如文件的目录结构
# 数结构术语

树(Tree): n (n ≥ 0) 个节点构成的有限集合
当 n = 0 时,称为空树
对于任一棵非空树(n > 0),他具备以下性质:
- 树中有一个称为**根(root)**的特殊节点,用 r 表示
- 其余节点可分为m (m > 0) 个互不相交的有限集T1、T2...., Tm ,其中每个集合本身又是一棵树,称为原来树的子树(SubTree)
- 节点的度(Degree): 节点的子树个数
- 树的度: 树的所有节点中最大的度数
- 叶节点(Leaf): 度数为 0 的节点
- 父节点(Parent): 有子树的节点是其子树的根节点的父节点
- 子节点(Child): 若A节点是B节点的父节点,则称B节点是A节点的子节点
- 兄弟节点(Sibling): 具有同一父节点的各节点彼此是兄弟节点
- 路径和路径长度:从节点 n1 到 nk 的路径为一个节点序列n1, n2, ...., nk, ni 是 ni + 1的父节点,路径所包含边的个数为路径长度。
- 节点的层次(Level): 规定根节点在1层,其他任一节点的层数是其父节点的层数加1
- 树的深度(Depth): 树中所有节点中最大层次是这棵树的深度
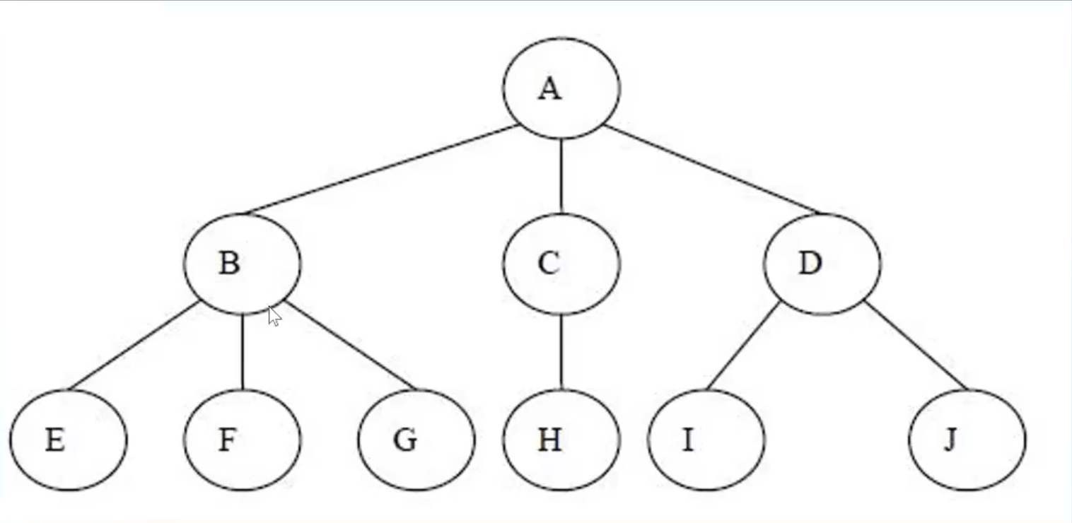
# 树的表示方式
最普通的表达方式:

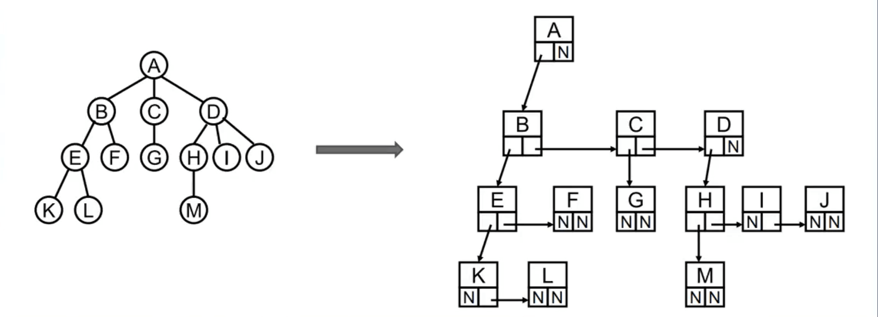
儿子-兄弟表示法:

将儿子-兄弟表示法旋转

其实所有的树本质上都可以使用二叉树模拟出来