# 红黑树
# 红黑树的规则
- 1、节点是红色或黑色
- 2、根节点是黑色
- 3、每个叶子节点都是黑色的空节点(NIL节点)
- 4、每个红色节点的两个子节点都是黑色(从每个叶子到根的所有路径树干不能有两个连续的红色节点)
- 5、从任一节点到其每个叶子的所有路径都包含相同数目的黑色节点。

# 红黑树的相对平衡
前面的约束,确保了红黑树的关键特性:
- 从根到叶子的最长可能路径,不会超过最短可能路径的两倍长
- 结果就是这个数基本是平衡的
- 虽然没有做到绝对平衡,但是可以保证在最坏的情况下,依然是高效的
为什么可以做到最长路径不超过最短路径的两倍呢?
性质4决定了路径不能有两个相连的红色节点。
最短的可能路径都是黑色节点
最长的可能路径是红色和黑色交替
性质5所有的路径都有相同数目的黑色节点
这就表明了没有路径能多余任何其他路径的两倍长。
# 红黑树的变色
插入一个新节点时,有可能树不在平衡,可以通过三种方式,让树保持平衡。
- 换色
- 左旋转
- 右旋转
# 变色
为了重新符合红黑树的规则,尝试把红色节点变为黑色节点,或者把黑色节点变为红色。
首先,需要知道插入的新节点通常是红色节点。因为在插入节点为红色的时候,有可能插入一次是不违反红黑树任何规则的。而插入黑色节点,必然会导致有一条路径上多了黑色节点,这是很难调整的。红色节点可能导致出现红红相连的情况,但是这种情况可以通过颜色调换和旋转来调整。
# 左旋转
逆时针旋转红黑树的两个节点,使得父节点被自己的右孩子取代,而自己称为自己的左孩子。

图中,身为右孩子的Y取代了X的位置,而X变成了Y的左孩子。此为左旋转。
问题:如果他们有子树是否会影响旋转?(不会受影响)
以 50 为中心,逆时针旋转后:

# 右旋转
顺时针旋转红黑树的两个节点,使得父节点被自己的左孩子取代,而自己称为自己的右孩子。

图中,身为左孩子的Y取代了X的位置,而X变成了Y的右孩子。
问题:如果他们有子树是否影响旋转呢?(不会受影响)
以 75 为中心,顺时针旋转后:

# 插入数据
假设要插入的节点为N,其父节点为P,其祖父节点为G,其父亲的兄弟节点为U(即P和U是同一个节点的子节点)
情况一:
新节点N位于树的根节点上,没有父节点。 在这种情况下,直接将红色变成黑色即可,这样满足性质2
情况二:
新节点的父节点P是黑色 性质4没有失效(新节点是红色的),性质5也没有任何问题。 尽管新节点N有两个黑色的叶子节点Nil,但是新节点N是红色的。所以通过他的路径中黑色节点的个数依然相同。满足性质5

情况三: P为红色,U也为红色
操作步骤: 将P和U变换成黑色,并且将G变换成红色。现在新节点N有了一个黑色的父节点P,所以每条路径上黑色节点数目没有变化。而从最高的路径上,必然都会经过G节点。所以那些路径的黑色节点的数据也是不变的,符合性质5。
可能出现的问题: N的祖父节点G的父节点也可能是红色的,这样就违反了性质3,可以递归的调整颜色。但是如果递归调整颜色到了根节点,就需要进行旋转了。

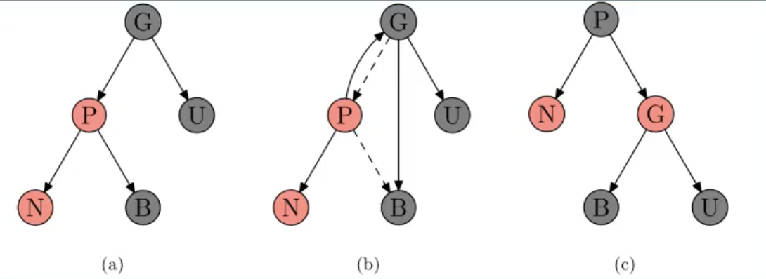
情况四:
N的父节点是红色,叔叔节点是黑色,N是左子节点。(父红叔黑,N是左儿子)
操作方案:(父黑祖红,叔不变,右旋转、先变色在旋转即可)
对祖父节点G进行依次右旋转。 在旋转中,以前的父节点P现在是新节点,以前祖父节点G现在是叔叔节点。 交换以前的父节点P和祖父节点G的颜色(P为黑色,G变成红色,G以前一定是黑色的) B节点向右平移,变为G节点的左子节点。

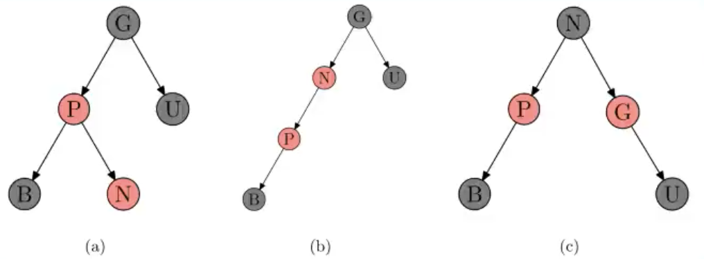
情况五:
N 的叔叔节点是黑色节点,且N是右子节点(父红叔黑祖黑,N是右儿子)
操作方案:
- 以P为根左旋转
- 将P作为新插入的红色节点考虑即可
- 自己变黑
- 祖父变红
- 以祖为根,进行右旋转
对P节点进行依次左旋转、形成情况四的结果。 对祖父节点G进行依次右旋转,并且改变颜色即可

将P和B看成一个整体来对待

案例:依次插入 10 9 8 7 6 5 4 3 2 1
10
插入红色节点10
将节点10的颜色变为黑色

9
创建红色新节点9
放到10的左侧,不需要任何变化

8